HOME
|
SEARCH
|
CONTACT US
|
ABOUT US
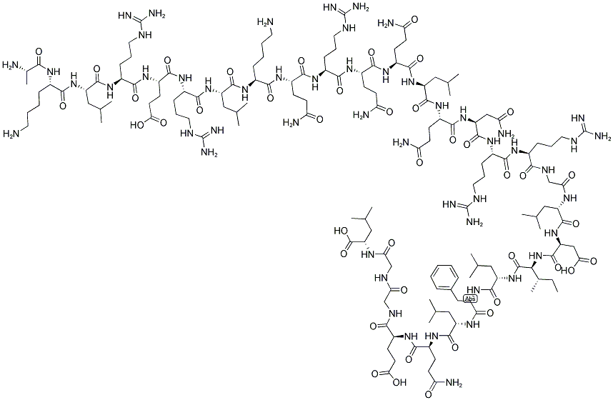
H-ALA-LYS-LEU-ARG-GLU-ARG-LEU-LYS-GLN-ARG-GLN-GLN-LEU-GLN-ASN-ARG-ARG-GLY-LEU-ASP-ILE-LEU-PHE-LEU-GLN-GLU-GLY-GLY-LEU-OH
CAS Number:
126947-95-3
Synonyms
H-ALA-LYS-LEU-ARG-GLU-ARG-LEU-LYS-GLN-ARG-GLN-GLN-LEU-GLN-ASN-ARG-ARG-GLY-LEU-ASP-ILE-LEU-PHE-LEU-GLN-GLU-GLY-GLY-LEU-OH;Ala-Lys-Leu-Arg-Glu-Arg-Leu-Lys-Gln-Arg-Gln-Gln-Leu-Gln-Asn-Arg-Arg-Gly-Leu-Asp-Ile-Leu-Phe-Leu-Gln-Glu-Gly-Gly-Leu;H-Ala-Lys-Leu-Arg-
Formula
C151H262N52O42
MW
3478.02
Chemical Structure
Inquiry
(e.g mail@yahoo.com)
If you are the manufacturer,you can release your contact information on the hpfaces for free.
Contact Us
.
3-Pyridinecarboxaldehyde
500-22-1
107.11
C6H5NO
(S)-2,6-DIAMINO-HEXANOIC ACID BENZYL ESTER DIHYDROCHLORIDE
16142-09-9
C13H22Cl2N2O2
5-MERCAPTO-4-METHYL-4H-1,2,4-TRIAZOL-3-OL
22244-61-7
C3H5N3OS
4'-ACETYLBENZO-15-CROWN 5-ETHER
41757-95-3
310.34
C16H22O6
5-Pyrimidinamine, 2-fluoro-N,N-dimethyl- (9CI)
62802-40-8
141.1462232
C6H8FN3
C-[2-(4-FLUORO-PHENYL)-OXAZOL-4-YL]-METHYLAMINE
885272-89-9
192.19
C10H9FN2O