HOME
|
SEARCH
|
CONTACT US
|
ABOUT US
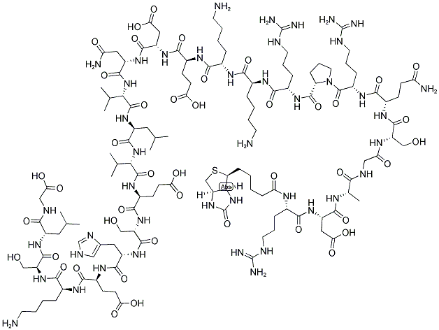
BIOTINYL-PTH (44-68) (HUMAN)
CAS Number:
198341-96-7
Synonyms
BIOTINYL-PARATHYROID HORMONE (44-68) (HUMAN);BIOTINYL-PTH (44-68) (HUMAN);BIOTINYL-ARG-ASP-ALA-GLY-SER-GLN-ARG-PRO-ARG-LYS-LYS-GLU-ASP-ASN-VAL-LEU-VAL-GLU-SER-HIS-GLU-LYS-SER-LEU-GLY-OH;Biotinyl-Arg-Asp-Ala-Gly-Ser-Gln-Arg-Pro-Arg-Lys-Lys-Glu-Asp-Asn-Val-
Formula
C127H213N43O43S
MW
3062.38
Chemical Structure
Inquiry
(e.g mail@yahoo.com)
If you are the manufacturer,you can release your contact information on the hpfaces for free.
Contact Us
.
2-(2-METHYLPYRAZOLO[1,5-A]PYRIMIDIN-6-YL)ACETIC ACID
933754-40-6
C9H9N3O2
RUBIDIUM IODATE
13446-76-9
260.37
IO3Rb
4-METHYLAMINOMETHYL-PIPERIDINE-1-CARBOXYLIC ACID ALLYL ESTER
886365-58-8
212.2887
C11H20N2O2
Tisoquone
40692-37-3
C17H17NS
3-AMINO-5-NITROBENZOIC ACID METHYL ESTER
23218-93-1
196.16
C8H8N2O4
[(1S,3Z,4aS,11R,11aR,12S,12aR)-3-(amino-hydroxy-methylidene)-4a,6,7,12-tetrahydroxy-11-methyl-2,4,5-trioxo-11,11a,12,12a-tetrahydro-1H-tetracen-1-yl]-dimethyl-azanium chloride
61281-03-6
C22H25ClN2O8