HOME
|
SEARCH
|
CONTACT US
|
ABOUT US
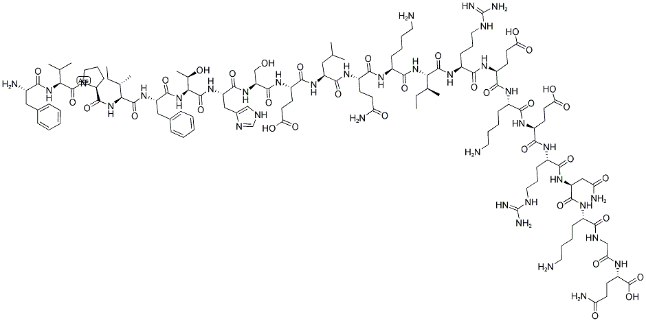
MOTILIN (CANINE)
CAS Number:
85490-53-5
Synonyms
PHE-VAL-PRO-ILE-PHE-THR-HIS-SER-GLU-LEU-GLN-LYS-ILE-ARG-GLU-LYS-GLU-ARG-ASN-LYS-GLY-GLN;MOTILIN (CANINE);FVPIFTHSELQKIREKERNKGQ;GASTRIC MOTOR STIMULATORY PEPTIDE, CANINE;H-PHE-VAL-PRO-ILE-PHE-THR-HIS-SER-GLU-LEU-GLN-LYS-ILE-ARG-GLU-LYS-GLU-ARG-ASN-LYS-GLY
Formula
C120H194N36O34
MW
2685.05
Chemical Structure
Inquiry
(e.g mail@yahoo.com)
If you are the manufacturer,you can release your contact information on the hpfaces for free.
Contact Us
.
2,1-Benzisoxazole-7-carboxaldehyde (9CI)
107096-60-6
147.1308
C8H5NO2
Ethanone, 1-(1-methyl-1H-1,2,4-triazol-5-yl)- (9CI)
106535-28-8
125.12858
C5H7N3O
5-Butoxy-2-fluorophenylboronic acid
849062-31-3
C10H14BFO3
Benzoyl fluoride, 2,4,5-trifluoro- (9CI)
101513-67-1
178.0837928
C7H2F4O
ESTRIOL TRIACETATE
2284-32-4
414.49
C24H30O6
Piperazinium, 4-(2-hydroxyethyl)-1,1-dimethyl- (9CI)
112745-28-5
159.24926
C8H19N2O+